Відкрити меню

вправа 5.23 гдз 10 клас математика Істер 2018

 
Вправа 5.23
Знайдіть допустимі значення змінної у виразі:
1) m1/3; 2) р-4/5; 3) (а + 2)1,4; 4) (4х - х2)-2/7.

Умова:



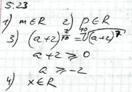
Відповідь: 1) m ∈ R;
2) р ∈ R;
3) (а + 2)7/10 = 10√(а + 2)7
а + 2 ≥ 0
а -2;
4) х ∈ R.
вправа 5.23 гдз 10 клас математика Істер 2018

реклама

Рекомендую гдз (відповіді) для 10 класу

математика 10 клас Істер
математика Істер
10 клас
математика 10 клас Мерзляк
математика Мерзляк
10 клас
математика 10 клас Бевз
математика Бевз
10 клас
геометрія 10 клас Істер
геометрія Істер
10 клас
алгебра 10 клас Істер
алгебра Істер
10 клас
укр мова 10 клас Авраменко
укр мова Авраменко
10 клас
англ мова 10 клас Буренко
англ мова Буренко
10 клас
англ мова 10 клас Морська
англ мова Морська
10 клас
англ мова 10 клас Калініна
англ мова Калініна
10 клас
англ мова 10 клас Кучма
англ мова Кучма
10 клас
хімія 10 клас Савчин
хімія Савчин
10 клас