Відкрити меню

Вправа 12.11 гдз 7 клас алгебра Прокопенко Захарійченко Пекарська

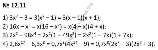
Відповідь:

 

вправи поруч

реклама

Коментування доступне тільки зареєстрованим

Будь ласка, увійдіть через Google, щоб залишити коментар.