Відкрити меню
головна
2 клас
+
Математика
Українська мова
3 клас
+
Математика
Українська мова
4 клас
+
Математика
Українська мова
Англійська мова
5 клас
+
Математика
Українська мова
Англійська мова
Зарубіжна література
Українська література
6 клас
+
Математика
Українська мова
Англійська мова
Французька мова
Інформатика
Зарубіжна література
7 клас
+
Алгебра
Геометрія
Математика
Українська мова
Англійська мова
Французька мова
Біологія
Географія
Фізика
Хімія
Історія України
Всесвітня історія
Історія Україна і світ
Інформатика
Українська література
Зарубіжна література
8 клас
+
Алгебра
Геометрія
Українська мова
Англійська мова
Фізика
Хімія
Історія України
Всесвітня історія
Українська література
9 клас
+
Алгебра
Геометрія
Українська мова
Англійська мова
Історія України
Українська література
Хімія
10 клас
+
Алгебра
Геометрія
Математика
Українська мова
Англійська мова
Історія України
Всесвітня історія
Хімія
11 клас
+
Алгебра
Геометрія
Математика
Українська мова
Англійська мова
Французька мова
Історія України
Фізика
Хімія
Пошук
Пошук
головна
ГДЗ
7 клас
Алгебра
Прокопенко Захарійченко Пекарська
Будь ласка, поставте оцінку
Голос 1
Голос 2
Голос 3
Голос 4
Голос 5
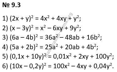
Вправа 9.3 гдз 7 клас алгебра Прокопенко Захарійченко Пекарська
Відповідь:
вправи поруч
8.25
8.26
9.1
9.2
9.4
9.5
9.6
9.7
реклама
Поділіться цією сторінкою у соцмережах!
Рекомендую гдз (решебник) для 7 класу
укр мова Авраменко
7 клас
укр мова Заболотний
7 клас
укр мова Голуб
7 клас
укр мова Літвінова
7 клас
укр мова Онатій
7 клас
англ мова Карп'юк
7 клас
англ мова Коста
7 клас
англ мова Мітчелл
7 клас
англ мова Морська
7 клас
французька мова Чумак
7 клас
алгебра Бевз
7 клас
алгебра Істер
7 клас
алгебра Мерзляк
7 клас
алгебра Тарасенкова
7 клас
геометрія Бевз
7 клас
геометрія Бурда
7 клас
геометрія Істер
7 клас
геометрія Мерзляк
7 клас
Обирай предмет, з якого треба відповіді для 7 класу
алгебра
геометрія
математика
українська мова
українська література
зарубіжна література
англійська мова
французька мова
історія України
всесвітня історія
інформатика
біологія
географія
фізика
хімія
Додати коментар