Відкрити меню

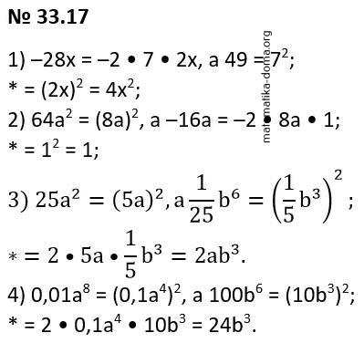
Вправа 33.17 гдз 7 клас математика Істер

Вправа 33.17 гдз 7 клас математика Істер
← Погортайте →

вправи поруч

реклама

Коментування доступне тільки зареєстрованим

Будь ласка, увійдіть через Google, щоб залишити коментар.