Відкрити меню

Параграф 2 вправа 52 гдз 7 клас математика Школьний Нелін Миляник

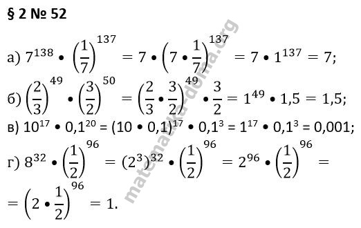
Відповідь:

 

вправи поруч

реклама

Коментування доступне тільки зареєстрованим

Будь ласка, увійдіть через Google, щоб залишити коментар.