Відкрити меню

Гдз з алгебри 8 клас Істер відповідь на номер 10.10

Обкладинка книги ГДЗ Алгебра 8 клас Істер 2025
Обкладинка: ГДЗ Алгебра 8 клас Істер
Автор:
Тип книги:
ГДЗ (решебник)
Рік видання:

Детальне розв'язання: вправа № 10.10 з алгебри для учнів 8 класу, автор Істер 2025

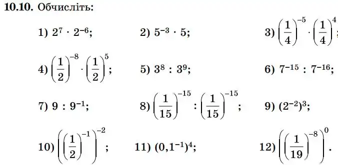
Умова вправа № 10.10
Зображення умови задачі номер 10.10 з підручника Алгебра 8 клас Істер
👈 Прокрути 👉
Розв'язок (відповідь) вправа № 10.10
Зображення розв'язку задачі номер 10.10 з ГДЗ Алгебра 8 клас Істер
👈 Прокрути 👉

Сусідні номери

реклама

Коментарі

Твойа жирна мамка
Твойа жирна мамка
1 year ago
Йа виібаф тваю сім'ю всю :cry: :cry: :cry: ;-)
Твойа жирна мамка
1
Твойа жирна мамка
1 year ago
Я вашу мамут рахал :-* ;-) :P і дида сососо порнапорнапорнапорнапорнапорна

Коментування доступне тільки зареєстрованим

Будь ласка, увійдіть через Google, щоб залишити коментар.