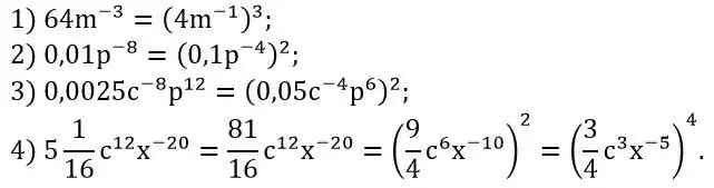
Гдз з алгебри 8 клас Істер відповідь на номер 10.18
Детальне розв'язання: вправа № 10.18 з алгебри для учнів 8 класу, автор Істер 2025
 
 👈 Прокрути 👉
 
 👈 Прокрути 👉
Детальне розв'язання: вправа № 10.18 з алгебри для учнів 8 класу, автор Істер 2025
 
 