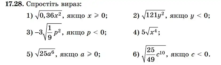
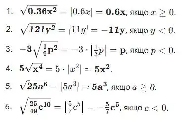
Гдз з алгебри 8 клас Істер відповідь на номер 17.28
Детальне розв'язання: вправа № 17.28 з алгебри для учнів 8 класу, автор Істер 2025
 
 👈 Прокрути 👉
 
 👈 Прокрути 👉
Детальне розв'язання: вправа № 17.28 з алгебри для учнів 8 класу, автор Істер 2025
 
 