Відкрити меню

Гдз з алгебри 8 клас Істер відповідь на номер 18.31

Обкладинка книги ГДЗ Алгебра 8 клас Істер 2025
Обкладинка: ГДЗ Алгебра 8 клас Істер
Автор:
Тип книги:
ГДЗ (решебник)
Рік видання:

Детальне розв'язання: вправа № 18.31 з алгебри для учнів 8 класу, автор Істер 2025

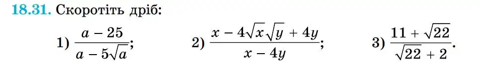
Умова вправа № 18.31
Зображення умови задачі номер 18.31 з підручника Алгебра 8 клас Істер
👈 Прокрути 👉
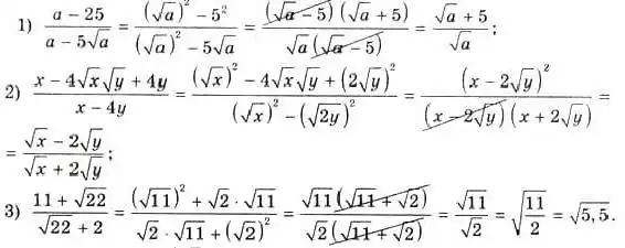
Розв'язок (відповідь) вправа № 18.31
Зображення розв'язку задачі номер 18.31 з ГДЗ Алгебра 8 клас Істер
👈 Прокрути 👉

Сусідні номери

реклама

Коментування доступне тільки зареєстрованим

Будь ласка, увійдіть через Google, щоб залишити коментар.