Відкрити меню

Гдз з математики 4 клас Заїка 2 частина відповідь на номер 367

Обкладинка книги ГДЗ Математика 4 клас Заїка 2021
Обкладинка: ГДЗ Математика 4 клас Заїка
Автори:
Тип книги:
ГДЗ (решебник)
Рік видання:

Детальне розв'язання: вправа № 367 з математики для учнів 4 класу, авторів Заїка, Тарнавська 2021

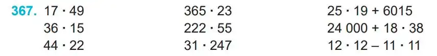
Умова вправа № 367
Зображення умови задачі номер 367 з підручника Математика 4 клас Заїка
👈 Прокрути 👉
Розв'язок (відповідь) вправа № 367
Зображення розв'язку задачі номер 367 з ГДЗ Математика 4 клас Заїка
👈 Прокрути 👉
Теоретичний матеріал (4 клас)
Правила, теоретичні відомості, що вивчаються в 4 класі:
Відеоогляд правил з прикладами (це потрібно знати в будь-якому класі)
Зі списку нижче, обери потрібне правило

Сусідні номери

реклама

Коментування доступне тільки зареєстрованим

Будь ласка, увійдіть через Google, щоб залишити коментар.