Відкрити меню

Гдз з математики 4 клас Лишенко 2 частина відповідь на номер 139

Обкладинка книги ГДЗ Математика 4 клас Лишенко 2021
Обкладинка: ГДЗ Математика 4 клас Лишенко
Автор:
Тип книги:
ГДЗ (решебник)
Рік видання:

Детальне розв'язання: вправа № 139 з математики для учнів 4 класу, автор Лишенко 2021

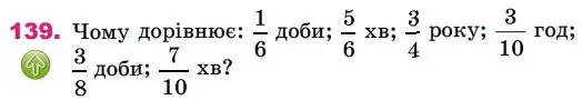
Умова вправа № 139
Зображення умови задачі номер 139 з підручника Математика 4 клас Лишенко
👈 Прокрути 👉
Розв'язок (відповідь) вправа № 139
Зображення розв'язку задачі номер 139 з ГДЗ Математика 4 клас Лишенко
👈 Прокрути 👉
Теоретичний матеріал (4 клас)
Правила, теоретичні відомості, що вивчаються в 4 класі:
Відеоогляд правил з прикладами (це потрібно знати в будь-якому класі)
Зі списку нижче, обери потрібне правило

Сусідні номери

реклама