Відкрити меню

Гдз з математики 5 клас Бевз відповідь на номер 1417

Обкладинка книги ГДЗ Математика 5 клас Бевз 2022
Обкладинка: ГДЗ Математика 5 клас Бевз
Автори:
Тип книги:
ГДЗ (решебник)
Рік видання:

Детальне розв'язання: вправа № 1417 з математики для учнів 5 класу, авторів Бевз, Васильєва, Владімірова 2022

Умова вправа № 1417
Зображення умови задачі номер 1417 з підручника Математика 5 клас Бевз
👈 Прокрути 👉
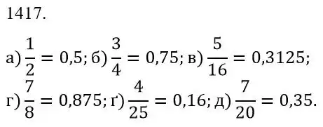
Розв'язок (відповідь) вправа № 1417
Зображення розв'язку задачі номер 1417 з ГДЗ Математика 5 клас Бевз
👈 Прокрути 👉
Теоретичний матеріал (5 клас)
Правила, теоретичні відомості, що вивчаються в 5 класі:
Відеоогляд правил з цієї теми у 5 класі (плейлист)
Зі списку нижче, обери потрібне правило

Сусідні номери

реклама

Коментування доступне тільки зареєстрованим

Будь ласка, увійдіть через Google, щоб залишити коментар.