Відкрити меню

Гдз з математики 5 клас Скворцова відповідь на номер 518

Обкладинка книги ГДЗ Математика 5 клас Скворцова 2022
Обкладинка: ГДЗ Математика 5 клас Скворцова
Автор:
Тип книги:
ГДЗ (решебник)
Рік видання:

Детальне розв'язання: вправа № 518 з математики для учнів 5 класу, автор Скворцова 2022

Умова вправа № 518
Зображення умови задачі номер 518 з підручника Математика 5 клас Скворцова
👈 Прокрути 👉
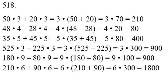
Розв'язок (відповідь) вправа № 518
Зображення розв'язку задачі номер 518 з ГДЗ Математика 5 клас Скворцова
👈 Прокрути 👉
Теоретичний матеріал (5 клас)
Правила, теоретичні відомості, що вивчаються в 5 класі:
Відеоогляд правил з цієї теми у 5 класі (плейлист)
Зі списку нижче, обери потрібне правило

Сусідні номери

реклама