Відкрити меню

Гдз з математики 6 клас Біос 2 частина відповідь на номер 185

Обкладинка книги ГДЗ Математика 6 клас Біос 2023
Обкладинка: ГДЗ Математика 6 клас Біос
Автор:
Тип книги:
ГДЗ (решебник)
Рік видання:

Детальне розв'язання: вправа № 185 з математики для учнів 6 класу, автор Біос 2023

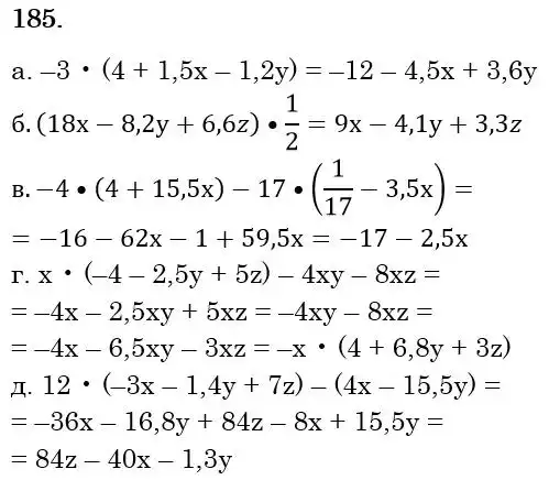
Умова вправа № 185
Зображення умови задачі номер 185 з підручника Математика 6 клас Біос
👈 Прокрути 👉
Розв'язок (відповідь) вправа № 185
Зображення розв'язку задачі номер 185 з ГДЗ Математика 6 клас Біос
👈 Прокрути 👉
Теоретичний матеріал (6 клас)
Правила, теоретичні відомості, що вивчаються в 6 класі:
Відеоогляд правил з цієї теми у 6 класі (плейлист)
Зі списку нижче, обери потрібне правило

Сусідні номери

реклама