Відкрити меню

Гдз з математики 6 клас Бевз 1 частина відповідь на номер 392

Обкладинка книги ГДЗ Математика 6 клас Бевз 2023
Обкладинка: ГДЗ Математика 6 клас Бевз
Автори:
Тип книги:
ГДЗ (решебник)
Рік видання:

Детальне розв'язання: вправа № 392 з математики для учнів 6 класу, авторів Бевз, Васильєва, Владімірова 2023

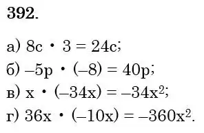
Умова вправа № 392
Зображення умови задачі номер 392 з підручника Математика 6 клас Бевз
👈 Прокрути 👉
Розв'язок (відповідь) вправа № 392
Зображення розв'язку задачі номер 392 з ГДЗ Математика 6 клас Бевз
👈 Прокрути 👉
Теоретичний матеріал (6 клас)
Правила, теоретичні відомості, що вивчаються в 6 класі:
Відеоогляд правил з цієї теми у 6 класі (плейлист)
Зі списку нижче, обери потрібне правило

Сусідні номери

реклама

Коментування доступне тільки зареєстрованим

Будь ласка, увійдіть через Google, щоб залишити коментар.