Гдз з алгебри 7 клас Тарасенкова відповідь на номер 225

- Автори:
- Н. А. Тарасенкова, І. А. Акуленко, О. А. Данько
- Тип книги:
- ГДЗ (решебник)
- Рік видання:
- 2024
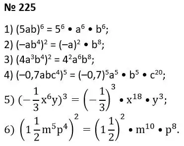
Детальне розв'язання: вправа № 225 з алгебри для учнів 7 класу, авторів Тарасенкова, Акуленко, Данько 2024

👈 Прокрути 👉

👈 Прокрути 👉