Відкрити меню

Гдз з алгебри 7 клас Тарасенкова відповідь на номер 336

Обкладинка книги ГДЗ Алгебра 7 клас Тарасенкова 2024
Обкладинка: ГДЗ Алгебра 7 клас Тарасенкова
Автори:
Тип книги:
ГДЗ (решебник)
Рік видання:

Детальне розв'язання: вправа № 336 з алгебри для учнів 7 класу, авторів Тарасенкова, Акуленко, Данько 2024

Умова вправа № 336
Зображення умови задачі номер 336 з підручника Алгебра 7 клас Тарасенкова
👈 Прокрути 👉
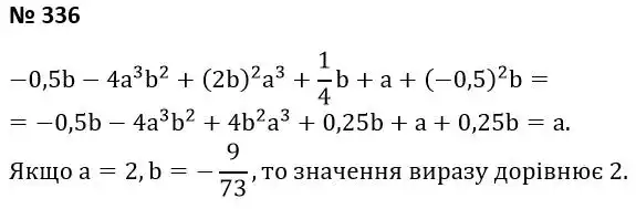
Розв'язок (відповідь) вправа № 336
Зображення розв'язку задачі номер 336 з ГДЗ Алгебра 7 клас Тарасенкова
👈 Прокрути 👉

Сусідні номери

реклама

Коментарі

Савчук Поліна 5-А кл
1
Савчук Поліна 5-А кл
1 year ago
я скину на вас 250000 тон тротила
Like Like
Савчук Поліна 5-А кл
0
Савчук Поліна 5-А кл
1 year ago
аааааааааааааааааааааааааааааааааааааааааааааааааааааааааааааааааааааааааааааааааааааааааааааа
Like Like
Савчук Поліна
0
Савчук Поліна
1 year ago
:cry: :cry: :cry: :cry: :cry: :cry: :cry:
Like Like sad 1

Коментування доступне тільки зареєстрованим

Будь ласка, увійдіть через Google, щоб залишити коментар.