Відкрити меню

Гдз з алгебри 8 клас Бевз відповідь на номер 1334

Обкладинка книги ГДЗ Алгебра 8 клас Бевз 2025
Обкладинка: ГДЗ Алгебра 8 клас Бевз
Автори:
Тип книги:
ГДЗ (решебник)
Рік видання:

Детальне розв'язання: вправа № 1334 з алгебри для учнів 8 класу, авторів Бевз, Васильєва, Владімірова 2025

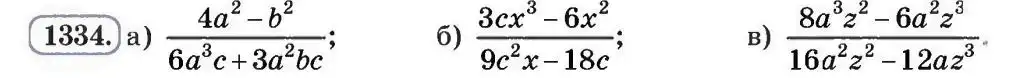
Умова вправа № 1334
Зображення умови задачі номер 1334 з підручника Алгебра 8 клас Бевз
👈 Прокрути 👉
Розв'язок (відповідь) вправа № 1334
Зображення розв'язку задачі номер 1334 з ГДЗ Алгебра 8 клас Бевз
👈 Прокрути 👉

Сусідні номери

реклама