Гдз з алгебри 8 клас Мерзляк відповідь на номер 47

- Автори:
- А. Г. Мерзляк, М. С. Якір
- Тип книги:
- ГДЗ (решебник)
- Рік видання:
- 2025
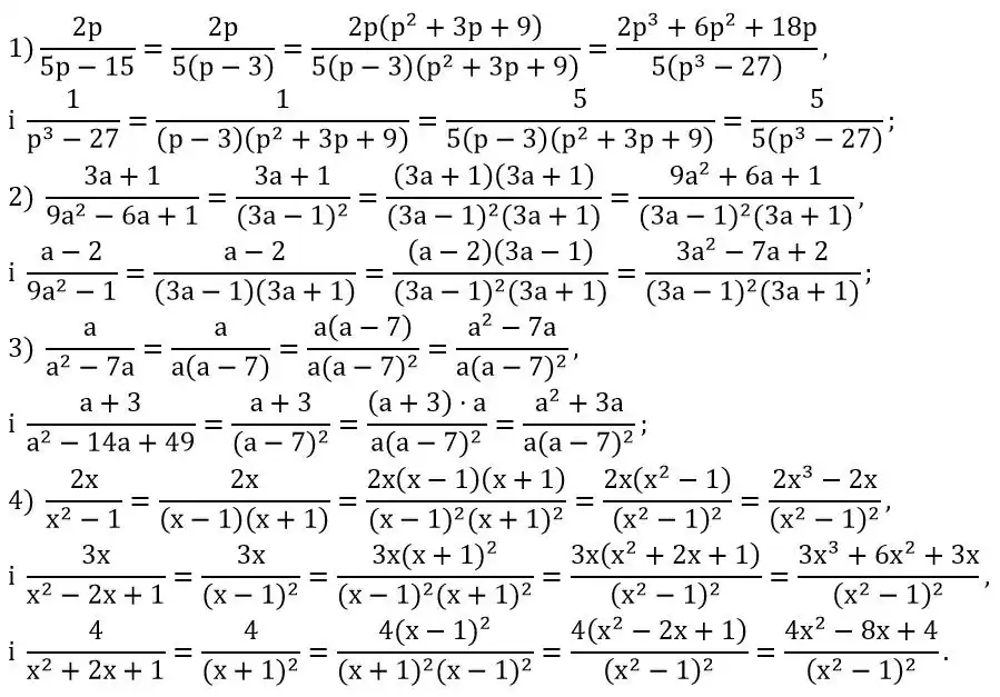
Детальне розв'язання: вправа № 47 з алгебри для учнів 8 класу, авторів Мерзляк, Якір 2025

👈 Прокрути 👉

👈 Прокрути 👉
Сусідні номери

👈 Прокрути 👉