Відкрити меню

Гдз з алгебри 8 клас Прокопенко відповідь на номер 3.15

Обкладинка книги ГДЗ Алгебра 8 клас Прокопенко 2025
Обкладинка: ГДЗ Алгебра 8 клас Прокопенко
Автори:
Тип книги:
ГДЗ (решебник)
Рік видання:

Детальне розв'язання: вправа № 3.15 з алгебри для учнів 8 класу, авторів Прокопенко, Захарійченко, Кінащук 2025

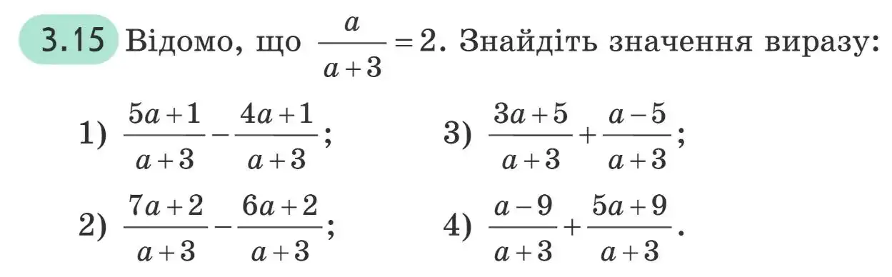
Умова вправа № 3.15
Зображення умови задачі номер 3.15 з підручника Алгебра 8 клас Прокопенко
👈 Прокрути 👉
Розв'язок (відповідь) вправа № 3.15
Зображення розв'язку задачі номер 3.15 з ГДЗ Алгебра 8 клас Прокопенко
👈 Прокрути 👉

Сусідні номери

реклама

Коментування доступне тільки зареєстрованим

Будь ласка, увійдіть через Google, щоб залишити коментар.