Відкрити меню

Гдз з алгебри 8 клас Тарасенкова відповідь на номер 300

Обкладинка книги ГДЗ Алгебра 8 клас Тарасенкова 2025
Обкладинка: ГДЗ Алгебра 8 клас Тарасенкова
Автори:
Тип книги:
ГДЗ (решебник)
Рік видання:

Детальне розв'язання: вправа № 300 з алгебри для учнів 8 класу, авторів Тарасенкова, Акуленко, Данько 2025

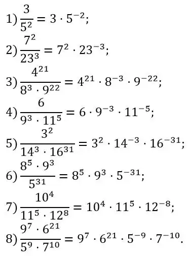
Умова вправа № 300
Зображення умови задачі номер 300 з підручника Алгебра 8 клас Тарасенкова
👈 Прокрути 👉
Розв'язок (відповідь) вправа № 300
Зображення розв'язку задачі номер 300 з ГДЗ Алгебра 8 клас Тарасенкова
👈 Прокрути 👉

Сусідні номери

реклама