Відкрити меню

Гдз з алгебри 8 клас Тарасенкова відповідь на номер 325

Обкладинка книги ГДЗ Алгебра 8 клас Тарасенкова 2025
Обкладинка: ГДЗ Алгебра 8 клас Тарасенкова
Автори:
Тип книги:
ГДЗ (решебник)
Рік видання:

Детальне розв'язання: вправа № 325 з алгебри для учнів 8 класу, авторів Тарасенкова, Акуленко, Данько 2025

Умова вправа № 325
Зображення умови задачі номер 325 з підручника Алгебра 8 клас Тарасенкова
👈 Прокрути 👉
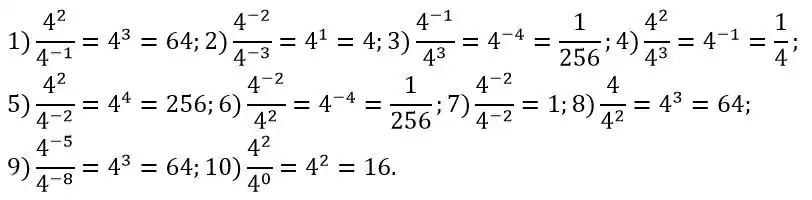
Розв'язок (відповідь) вправа № 325
Зображення розв'язку задачі номер 325 з ГДЗ Алгебра 8 клас Тарасенкова
👈 Прокрути 👉

Сусідні номери

реклама