Гдз з алгебри 9 клас Бевз відповідь на номер 233

- Автори:
- Г. П. Бевз, В. Г. Бевз
- Тип книги:
- ГДЗ (решебник)
- Рік видання:
- 2017
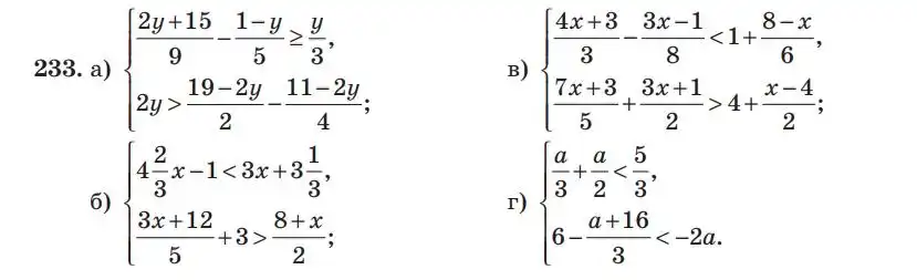
Детальне розв'язання: вправа № 233 з алгебри для учнів 9 класу, автор Бевз 2017

👈 Прокрути 👉

👈 Прокрути 👉
Детальне розв'язання: вправа № 233 з алгебри для учнів 9 класу, автор Бевз 2017