Відкрити меню

Гдз з алгебри 9 клас Мерзляк відповідь на номер 19.20

Обкладинка книги ГДЗ Алгебра 9 клас Мерзляк 2017
Обкладинка: ГДЗ Алгебра 9 клас Мерзляк
Автори:
Тип книги:
ГДЗ (решебник)
Рік видання:

Детальне розв'язання: вправа № 19.20 з алгебри для учнів 9 класу, авторів Мерзляк, Полонський 2017

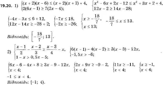
Умова вправа № 19.20
Зображення умови задачі номер 19.20 з підручника Алгебра 9 клас Мерзляк
👈 Прокрути 👉
Розв'язок (відповідь) вправа № 19.20
Зображення розв'язку задачі номер 19.20 з ГДЗ Алгебра 9 клас Мерзляк
👈 Прокрути 👉

Сусідні номери

реклама

Коментування доступне тільки зареєстрованим

Будь ласка, увійдіть через Google, щоб залишити коментар.