Відкрити меню

Гдз з алгебри 9 клас Мерзляк відповідь на номер 9.5

Обкладинка книги ГДЗ Алгебра 9 клас Мерзляк 2017
Обкладинка: ГДЗ Алгебра 9 клас Мерзляк
Автори:
Тип книги:
ГДЗ (решебник)
Рік видання:

Детальне розв'язання: вправа № 9.5 з алгебри для учнів 9 класу, авторів Мерзляк, Полонський 2017

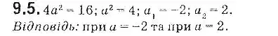
Умова вправа № 9.5
Зображення умови задачі номер 9.5 з підручника Алгебра 9 клас Мерзляк
👈 Прокрути 👉
Розв'язок (відповідь) вправа № 9.5
Зображення розв'язку задачі номер 9.5 з ГДЗ Алгебра 9 клас Мерзляк
👈 Прокрути 👉

Сусідні номери

реклама