Відкрити меню
👤
Увійти
Навігація

Завантаження профілю...
Обери аватарку
🔓 Відкриті
🔒 За досягнення
Змінити нікнейм
Від 3 до 30 символів. Нікнейм буде видно в рейтингах 🎮
Оберіть тему
Додати до вибраного
Збережено!

Гдз з геометрії 9 клас Бурда відповідь на номер 466

Обкладинка книги ГДЗ Геометрія 9 клас Бурда 2024
Обкладинка: ГДЗ Геометрія 9 клас Бурда
Автори:
Тип книги:
ГДЗ (решебник)
Рік видання:

Детальне розв'язання: вправа № 466 з геометрії для учнів 9 класу, авторів Бурда, Тарасенкова 2017

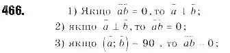
Умова вправа № 466
Зображення умови задачі номер 466 з підручника Геометрія 9 клас Бурда
👈 Прокрути 👉
Розв'язок (відповідь) вправа № 466
Зображення розв'язку задачі номер 466 з ГДЗ Геометрія 9 клас Бурда
👈 Прокрути 👉

Сусідні номери

Коментування доступне тільки зареєстрованим

Будь ласка, увійдіть через Google, щоб залишити коментар.

реклама