Відкрити меню

Гдз з алгебри 8 клас Бевз відповідь на номер 314

Обкладинка книги ГДЗ Алгебра 8 клас Бевз 2025
Обкладинка: ГДЗ Алгебра 8 клас Бевз
Автори:
Тип книги:
ГДЗ (решебник)
Рік видання:

Детальне розв'язання: вправа № 314 з алгебри для учнів 8 класу, авторів Бевз, Васильєва, Владімірова 2025

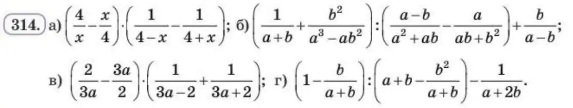
Умова вправа № 314
Зображення умови задачі номер 314 з підручника Алгебра 8 клас Бевз
👈 Прокрути 👉
Розв'язок (відповідь) вправа № 314 (завдання а, б)
Зображення розв'язку задачі номер 314 (завдання а, б) з ГДЗ Алгебра 8 клас Бевз
👈 Прокрути 👉
Розв'язок (відповідь) вправа № 314 (завдання в, г)
Зображення розв'язку задачі номер 314 (завдання в, г) з ГДЗ Алгебра 8 клас Бевз
👈 Прокрути 👉

Сусідні номери

Відповідь до підручника 2016 року вправа № 314
Зображення розв'язку задачі до підручника 2016 року номер 314 з ГДЗ Алгебра 8 клас Бевз
👈 Прокрути 👉
реклама