Відкрити меню

Гдз з алгебри 8 клас Бевз відповідь на номер 317

Обкладинка книги ГДЗ Алгебра 8 клас Бевз 2025
Обкладинка: ГДЗ Алгебра 8 клас Бевз
Автори:
Тип книги:
ГДЗ (решебник)
Рік видання:

Детальне розв'язання: вправа № 317 з алгебри для учнів 8 класу, авторів Бевз, Васильєва, Владімірова 2025

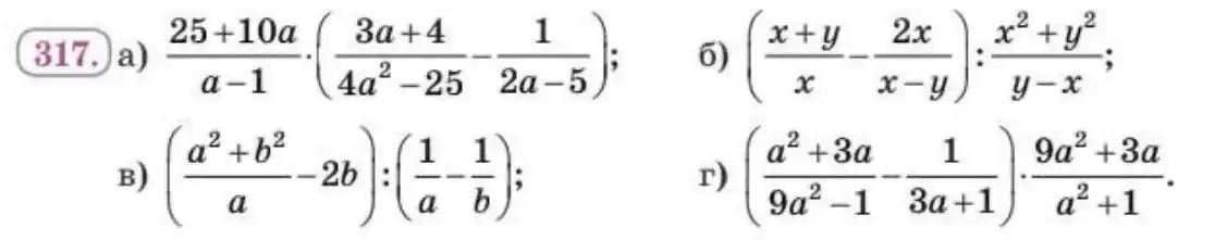
Умова вправа № 317
Зображення умови задачі номер 317 з підручника Алгебра 8 клас Бевз
👈 Прокрути 👉
Розв'язок (відповідь) вправа № 317 (завдання а)
Зображення розв'язку задачі номер 317 (завдання а) з ГДЗ Алгебра 8 клас Бевз
👈 Прокрути 👉
Розв'язок (відповідь) вправа № 317 (завдання б)
Зображення розв'язку задачі номер 317 (завдання б) з ГДЗ Алгебра 8 клас Бевз
👈 Прокрути 👉
Розв'язок (відповідь) вправа № 317 (завдання в)
Зображення розв'язку задачі номер 317 (завдання в) з ГДЗ Алгебра 8 клас Бевз
👈 Прокрути 👉
Розв'язок (відповідь) вправа № 317 (завдання г)
Зображення розв'язку задачі номер 317 (завдання г) з ГДЗ Алгебра 8 клас Бевз
👈 Прокрути 👉

Сусідні номери

Відповідь до підручника 2016 року вправа № 317
Зображення розв'язку задачі до підручника 2016 року номер 317 з ГДЗ Алгебра 8 клас Бевз
👈 Прокрути 👉
реклама

Коментування доступне тільки зареєстрованим

Будь ласка, увійдіть через Google, щоб залишити коментар.