Гдз з алгебри 7 клас Мерзляк відповідь на номер 237

- Автори:
- А. Мерзляк, М. Якір
- Тип книги:
- ГДЗ (решебник)
- Рік видання:
- 2024
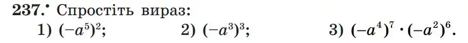
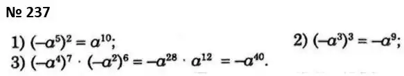
Детальне розв'язання: вправа № 237 з алгебри для учнів 7 класу, авторів Мерзляк, Якір 2024

👈 Прокрути 👉

👈 Прокрути 👉
Детальне розв'язання: вправа № 237 з алгебри для учнів 7 класу, авторів Мерзляк, Якір 2024