Відкрити меню

Гдз з алгебри 7 клас Мерзляк відповідь на номер 250

Обкладинка книги ГДЗ Алгебра 7 клас Мерзляк 2024
Обкладинка: ГДЗ Алгебра 7 клас Мерзляк
Автори:
Тип книги:
ГДЗ (решебник)
Рік видання:

Детальне розв'язання: вправа № 250 з алгебри для учнів 7 класу, авторів Мерзляк, Якір 2024

Умова вправа № 250
Зображення умови задачі номер 250 з підручника Алгебра 7 клас Мерзляк
👈 Прокрути 👉
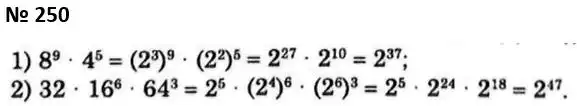
Розв'язок (відповідь) вправа № 250
Зображення розв'язку задачі номер 250 з ГДЗ Алгебра 7 клас Мерзляк
👈 Прокрути 👉

Сусідні номери

реклама

Коментування доступне тільки зареєстрованим

Будь ласка, увійдіть через Google, щоб залишити коментар.