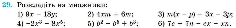
Гдз з алгебри 8 клас Істер відповідь на номер 29
Детальне розв'язання: вправа № 29 з алгебри для учнів 8 класу, автор Істер 2025

👈 Прокрути 👉

👈 Прокрути 👉
Сусідні номери

👈 Прокрути 👉
Детальне розв'язання: вправа № 29 з алгебри для учнів 8 класу, автор Істер 2025