Гдз з алгебри 7 клас Мерзляк відповідь на номер 413

- Автори:
- А. Мерзляк, М. Якір
- Тип книги:
- ГДЗ (решебник)
- Рік видання:
- 2024
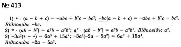
Детальне розв'язання: вправа № 413 з алгебри для учнів 7 класу, авторів Мерзляк, Якір 2024

👈 Прокрути 👉

👈 Прокрути 👉

Детальне розв'язання: вправа № 413 з алгебри для учнів 7 класу, авторів Мерзляк, Якір 2024

